SMALL
이번에 KT DS 코딩 테스트에서 정말 기본적인 BFS 알고리즘 문제를 풀지 못해 3문제 중 2솔했다
다른분들은 다 3솔하신듯.. 항상 SQL이랑 구현 문제는 별다른 기본 지식이 필요하지 않아 걍 푸는데 다른거 나오면 손을 못댄다 ㅜ
사실 평소에 코딩 테스트 준비를 전혀 안했기도 했고, 파이썬도 코테에서 사용하기 좋다길래 2-3일 공부하고 이번에 처음 써보는거라
역시 코테는 꾸준히 문제 풀어보고 공부해야한다고 느꼈음
그래서 오늘은 DFS랑 BFS 공부글을 쓴당
Python|탐색 알고리즘 뿌시기 (1) DFS, BFS 의 개념과 구현
#DFS #BFS #깊이우선탐색 #너비우선탐색 #탐색알고리즘 #알고리즘구현 #파이썬 #Python #탐색알고리즘 뿌시기 탐색 알고리즘과 자료구조, 직관적으로 이해하기 깊이 우선 탐색, 너비 우선 탐색 등,,
jeinalog.tistory.com
DFS는 Stack 사용 (스택 자료구조)
BFS는 Deque 사용 (큐 자료구조)
를 사용한다고만 알고 있었는데 이 글이 정말 왜 그 자료구조를 사용해야하는지 잘 정리한 글인듯!

DFS (Depth First Search)
- 깊이우선탐색 : 현재 정점에서 갈 수 있는 점들까지 들어가면서 탐색
- stack을 이용해서 갈 수 있는 만큼 최대한 깊이 가고, 더 이상 갈 곳이 없다면 이전 정점으로 돌아감
def dfs(graph,v,visited):
visited[v] = True
print(v,end = ' ')
for i in graph[v]:
if visited[i] != True:
dfs(graph,i,visited)
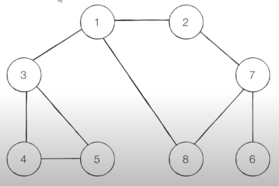
graph = [
[],
[2,3,8],
[1,7],
[1,4,5],
[3,5],
[3,4],
[7],
[2,6,8],
[1,7]
]
visited = [False] * 9
dfs(graph,1,visited)


BFS (Breadth First Search)
- 넓이우선탐색 : 현재 정점에 연결된 가까운 점들부터 탐색
- queue를 이용하여 지금 위치에서 갈 수 있는 것들을 모두 큐에 넣음
- queue에 넣을 시점에 해당 노드를 방문했다고 체크 (DFS는 일단 들어가서 체크)
from collections import deque
def bfs(graph,start,visited):
queue = deque([start])
visited[start] = True
while queue:
v = queue.popleft()
print(v, end = ' ')
for i in graph[v]:
if visited[i] != True:
queue.append(i)
visited[i] = True
graph = [
[],
[2,3,8],
[1,7],
[1,4,5],
[3,5],
[3,4],
[7],
[2,6,8],
[1,7]
]
visited = [False] * 9
bfs(graph,1,visited)


'Programming > Python' 카테고리의 다른 글
| [Python library] Itertools - 순열과 조합( Permutation, Combination ) (0) | 2020.10.21 |
|---|
댓글